Discussion 5: Trees
If there are fewer than 3 people in your group, merge your group with another group in the room. If your group has 6 or more students, you're welcome to split into two sub-groups and then sync up at the end. If you want two separate Pensieve documents for the two sub-groups, just have one sub-group add 1000 to their group number.
Now switch to Pensieve:
- Everyone: Go to pensieve.co, log in with your @berkeley.edu email, and enter your group number as the room number (which was in the email that assigned you to this discussion). As long as you all enter the same number (any number), you'll all be using a shared document.
Once you're on Pensieve, you don't need to return to this page; Pensieve has all the same content (but more features). If for some reason Penseive doesn't work, return to this page and continue with the discussion.
Attendance
Your TA will come around during discussion to check you in. You can start on the worksheet before being checked in; you don't need to wait for your TA to get started.
If you didn't attend for a good reason (such as being sick), fill out this form (within 2 weeks of your discussion): attendance form
Getting Started
Everyone go around and say your name.
For fun: Think of a big word with at least three syllables, such as "solitary" or "conundrum" or "ominous". Try to use it as many times as you can during today's discussion, but in ways that don't give away that it's your big word. At the end, your group will try to guess each person's big word. Whoever uses their big word the most times (and at least twice) without their group guessing it wins. (You win nothing; it's just a game.)
If there are fewer than 3 people in your group, feel free to merge your group with another group in the room.
Trees
For a tree t:
- Its root label can be any value, and
label(t)returns it. - Its branches are trees, and
branches(t)returns a list of branches. - An identical tree can be constructed with
tree(label(t), branches(t)). - You can call functions that take trees as arguments, such as
is_leaf(t). - That's how you work with trees. No
t == xort[0]orx in torlist(t), etc. - There's no way to change a tree (that doesn't violate an abstraction barrier).
Here's an example tree t1, for which its branch branches(t1)[1] is t2.
t2 = tree(5, [tree(6), tree(7)])
t1 = tree(3, [tree(4), t2])

A path is a sequence of trees in which each is the parent of the next.
You don't need to know how tree, label, and branches are implemented in
order to use them correctly, but here is the implementation from lecture.
def tree(label, branches=[]):
for branch in branches:
assert is_tree(branch), 'branches must be trees'
return [label] + list(branches)
def label(tree):
return tree[0]
def branches(tree):
return tree[1:]
def is_leaf(tree):
return not branches(tree)
def is_tree(tree):
if type(tree) != list or len(tree) < 1:
return False
for branch in branches(tree):
if not is_tree(branch):
return False
return True
Q1: Warm Up
What value is bound to result?
result = label(min(branches(max([t1, t2], key=label)), key=label))
How convoluted! (That's a big word.)
Here's a quick refresher on how key functions work with max and min,
max(s, key=f) returns the item x in s for which f(x) is largest.
>>> s = [-3, -5, -4, -1, -2]
>>> max(s)
-1
>>> max(s, key=abs)
-5
>>> max([abs(x) for x in s])
5
Therefore, max([t1, t2], key=label) returns the tree with the largest label,
in this case t2.
In case you're wondering, this expression does not violate an abstraction
barrier. [t1, t2] and branches(t) are both lists (not trees), and so it's
fine to call min and max on them.
Q2: Has Path
Implement has_path, which takes a tree t and a list p. It returns whether
there is a path from the root of t with labels p. For example, t1 has a
path from its root with labels [3, 5, 6] but not [3, 4, 6] or [5, 6].
Important: Before trying to implement this function, discuss these questions from lecture about the recursive call of a tree processing function:
- What small initial choice can I make (such as which branch to explore)?
- What recursive call should I make for each option?
How can I combine the results of those recursive calls?
- What type of values do they return?
- What do those return values mean?
If you get stuck, you can view our answers to these questions by clicking the hint button below, but please don't do that until your whole group agrees.
What small initial choice can I make (such as which branch to explore)?
Choose each one of the branches and call it b.
What recursive call should I make for each branch?
Call has_path on each branch b. You'll make this call after comparing p[0]
to label(t), and so the second argument to has_path will be the rest of p:
has_path(b, p[1:]).
What type of values do they return?
has_path always returns a bool value: True or False.
What do the possible return values mean?
If has_path(b, p[1:]) returns True, then there is a path through branch b
for which p[1:] are the node labels.
How can I combine the results of those recursive calls?
If you have already checked that label(t) is equal to p[0], then a True
return value from the recursive call has_path(b, p[1:]) means there is a path
through t with labels p using that branch b, so return. A False value
means there is no path through that branch, but there might be path through a
different branch, so don't return yet.
If your group needs some guidance, you can click on the hints below, but please talk with your group first before reading the hints.
p is a list of length one with the
label of t as its only element. The second base case should check if the
first element of p matches the label of t.
p[0] is equal to label(t), and so all that's left to check is that p[1:]
contains the labels in a path through one of the branches. One way is with
this template:
for ____:
if ____:
return True
return False
New Rule: Whoever in your group helped type the answer to the last question should not type the answer to the next one. Instead, just ask questions and give suggestions; give other members of your group a chance to type the answer.
Q3: Find Path
Implement find_path, which takes a tree t with unique labels and a value
x. It returns a list containing the labels of the nodes along a path from the
root of t to a node labeled x.
If x is not a label in t, return None. Assume that the labels of t are unique.
First talk through how to make and use the recursive call. (Try it yourselves; don't just click the hint button. That's how you learn.)
What small initial choice can I make (such as which branch to explore)?
Choose each one of the branches and call it b.
What recursive call should I make for each branch?
find_path(b, x) on each branch b.
What type of values do they return?
Each recursive call will either return None or a non-empty list of node labels.
What do the possible return values mean?
If find_path(b, x) returns None, then x does not appear in b. If
find_path(b, x) returns a list, then it contains the node labels for a path
through b that ends with the node labeled x.
How can you use those return values to complete your implementation?
If a list is returned, then it contains all of the labels in the path except
label(t), which must be placed at the front.
Please don't view the hints until you've discussed with your group and can't make progress.
x is the label of t, then return a list with one element that contains the label of t.
path to the result of a recursive call to find_path(b, x) so that you
can both check whether it's None and extend it if it's a list.
For a list path and a value v, the expression [v] + path creates a longer
list that starts with v and then has the elements of path.
Description Time! When your group has completed this question, it's time to
describe why this function does not have a base case that uses is_leaf. If you
can't figure it out, talk to a TA.
Big Word Search
For each person, the rest of the group should try to guess their big word (from the Getting Started section). The group only gets one guess. After they guess, reveal your big word and how many times you used it during discussion.
Optional Question
Tree problems often appear on exams. Here's one:
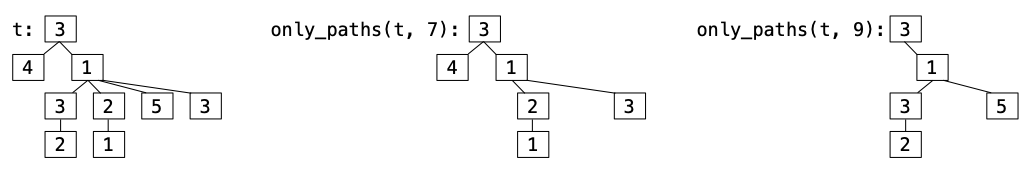
Q4: Only Paths
Implement only_paths, which takes a Tree of numbers t and a number n. It
returns a new tree with only the nodes of t that are on a path from the root
to a leaf with labels that sum to n, or None if no path sums to n.
Here is an illustration of the doctest examples involving t.
