Lab 5: Mutability, Iterators

Due by 11:59pm on Wednesday, October 8.

Starter Files

Download lab05.zip.

Attendance

If you are in a regular 61A lab, your TA will come around and check you in. You need to submit the lab problems in addition to attending to get credit for lab. If you are in the mega lab, you only need to submit the lab problems to get credit.

If you miss lab for a good reason (such as sickness or a scheduling conflict) or you don't get checked in for some reason, just fill out this form within two weeks to receive attendance credit.

Required Questions

Mutability

Consult the drop-down if you need a refresher on mutability. It's okay to skip directly to the questions and refer back here should you get stuck.

Some objects in Python, such as lists and dictionaries, are mutable, meaning that their contents or state can be changed. Other objects, such as numeric types, tuples, and strings, are immutable, meaning they cannot be changed once they are created.

The two most common mutation operations for lists are item assignment and the append method.

>>> s = [1, 3, 4]
>>> t = s  # A second name for the same list
>>> t[0] = 2  # this changes the first element of the list to 2, affecting both s and t
>>> s
[2, 3, 4]
>>> s.append(5)  # this adds 5 to the end of the list, affecting both s and t
>>> t
[2, 3, 4, 5]

There are many other list mutation methods:

  • append(elem): Add elem to the end of the list. Return None.
  • extend(s): Add all elements of iterable s to the end of the list. Return None.
  • insert(i, elem): Insert elem at index i. If i is greater than or equal to the length of the list, then elem is inserted at the end. This does not replace any existing elements, but only adds the new element elem. Return None.
  • remove(elem): Remove the first occurrence of elem in list. Return None. Errors if elem is not in the list.
  • pop(i): Remove and return the element at index i.
  • pop(): Remove and return the last element.

Dictionaries also have item assignment (often used) and pop (rarely used).

>>> d = {2: 3, 4: 16}
>>> d[2] = 4
>>> d[3] = 9
>>> d
{2: 4, 4: 16, 3: 9}
>>> d.pop(4)
16
>>> d
{2: 4, 3: 9}

Q1: WWPD: List-Mutation

Important: For all WWPD questions, type Function if you believe the answer is <function...>, Error if it errors, and Nothing if nothing is displayed.

Use Ok to test your knowledge with the following "What Would Python Display?" questions:

python3 ok -q list-mutation -u

>>> s = [6, 7, 8]
>>> print(s.append(6))
______
None
>>> s
______
[6, 7, 8, 6]
>>> s.insert(0, 9) >>> s
______
[9, 6, 7, 8, 6]
>>> x = s.pop(1) >>> s
______
[9, 7, 8, 6]
>>> s.remove(x) >>> s
______
[9, 7, 8]
>>> a, b = s, s[:] >>> a is s
______
True
>>> b == s
______
True
>>> b is s
______
False
>>> a.pop()
______
8
>>> a + b
______
[9, 7, 9, 7, 8]
>>> s = [3] >>> s.extend([4, 5]) >>> s
______
[3, 4, 5]
>>> a
______
[9, 7]
>>> s.extend([s.append(9), s.append(10)]) >>> s
______
[3, 4, 5, 9, 10, None, None]

Q2: Insert Items

Write a function that takes in a list s, a value before, and a value after. It modifies s in place by inserting after just after each value equal to before in s. It returns s.

Important: No new lists should be created.

Note: If the values passed into before and after are equal, make sure you're not creating an infinitely long list while iterating through it. If you find that your code is taking more than a few seconds to run, the function may be in an infinite loop of inserting new values.

def insert_items(s: list[int], before: int, after: int) -> list[int]:
    """Insert after into s following each occurrence of before and then return s.

    >>> test_s = [1, 5, 8, 5, 2, 3]
    >>> new_s = insert_items(test_s, 5, 7)
    >>> new_s
    [1, 5, 7, 8, 5, 7, 2, 3]
    >>> test_s
    [1, 5, 7, 8, 5, 7, 2, 3]
    >>> new_s is test_s
    True
    >>> double_s = [1, 2, 1, 2, 3, 3]
    >>> double_s = insert_items(double_s, 3, 4)
    >>> double_s
    [1, 2, 1, 2, 3, 4, 3, 4]
    >>> large_s = [1, 4, 8]
    >>> large_s2 = insert_items(large_s, 4, 4)
    >>> large_s2
    [1, 4, 4, 8]
    >>> large_s3 = insert_items(large_s2, 4, 6)
    >>> large_s3
    [1, 4, 6, 4, 6, 8]
    >>> large_s3 is large_s
    True
    """
    "*** YOUR CODE HERE ***"

Use Ok to test your code:

python3 ok -q insert_items

Q3: Group By

Write a function that takes in a list s and a function fn, and returns a dictionary that groups the elements of s based on the result of applying fn.

  • The dictionary should have one key for each unique result of applying fn to elements of s.
  • The value for each key should be a list of all elements in s that, when passed to fn, produce that key (what it evaluates to).

In other words, for each element e in s, determine fn(e) and add e to the list corresponding to fn(e) in the dictionary.

def group_by(s: list[int], fn) -> dict[int, list[int]]:
    """Return a dictionary of lists that together contain the elements of s.
    The key for each list is the value that fn returns when called on any of the
    values of that list.

    >>> group_by([12, 23, 14, 45], lambda p: p // 10)
    {1: [12, 14], 2: [23], 4: [45]}
    >>> group_by(range(-3, 4), lambda x: x * x)
    {9: [-3, 3], 4: [-2, 2], 1: [-1, 1], 0: [0]}
    """
    grouped = {}
    for ____ in ____:
        key = ____
        if key in grouped:
            ____
        else:
            grouped[key] = ____
    return grouped

Use Ok to test your code:

python3 ok -q group_by

Iterators

Consult the drop-down if you need a refresher on iterators. It's okay to skip directly to the questions and refer back here should you get stuck.

An iterable is any value that can be iterated through, or gone through one element at a time. One construct that we've used to iterate through an iterable is a for statement:

for elem in iterable:
    # do something

In general, an iterable is an object on which calling the built-in iter function returns an iterator. An iterator is an object on which calling the built-in next function returns the next value.

For example, a list is an iterable value.

>>> s = [1, 2, 3, 4]
>>> next(s)       # s is iterable, but not an iterator
TypeError: 'list' object is not an iterator
>>> t = iter(s)   # Creates an iterator
>>> t
<list_iterator object ...>
>>> next(t)       # Calling next on an iterator
1
>>> next(t)       # Calling next on the same iterator
2
>>> next(iter(t)) # Calling iter on an iterator returns itself
3
>>> t2 = iter(s)
>>> next(t2)      # Second iterator starts at the beginning of s
1
>>> next(t)       # First iterator is unaffected by second iterator
4
>>> next(t)       # No elements left!
StopIteration
>>> s             # Original iterable is unaffected
[1, 2, 3, 4]

You can also use an iterator in a for statement because all iterators are iterable. But note that since iterators keep their state, they're only good to iterate through an iterable once:

>>> t = iter([4, 3, 2, 1])
>>> for e in t:
...     print(e)
4
3
2
1
>>> for e in t:
...     print(e)

There are built-in functions that return iterators. These built-in Python sequence operations are said to compute results lazily.

>>> m = map(lambda x: x * x, [3, 4, 5])
>>> next(m)
9
>>> next(m)
16
>>> f = filter(lambda x: x > 3, [3, 4, 5])
>>> next(f)
4
>>> next(f)
5
>>> z = zip([30, 40, 50], [3, 4, 5])
>>> next(z)
(30, 3)
>>> next(z)
(40, 4)

Q4: WWPD: Iterators

Important: Enter StopIteration if a StopIteration exception occurs, Error if you believe a different error occurs, and Iterator if the output is an iterator object.

Important: Python's built-in function map, filter, and zip return iterators, not lists.

Use Ok to test your knowledge with the following "What Would Python Display?" questions:

python3 ok -q iterators-wwpd -u

>>> s = [1, 2, 3, 4]
>>> t = iter(s)
>>> next(s)
______
Error
>>> next(t)
______
1
>>> next(t)
______
2
>>> next(iter(s))
______
1
>>> next(iter(s))
______
1
>>> u = t >>> next(u)
______
3
>>> next(t)
______
4
>>> r = range(6)
>>> r_iter = iter(r)
>>> next(r_iter)
______
0
>>> [x + 1 for x in r]
______
[1, 2, 3, 4, 5, 6]
>>> [x + 1 for x in r_iter]
______
[2, 3, 4, 5, 6]
>>> next(r_iter)
______
StopIteration
>>> map_iter = map(lambda x : x + 10, range(5))
>>> next(map_iter)
______
10
>>> next(map_iter)
______
11
>>> list(map_iter)
______
[12, 13, 14]
>>> for e in filter(lambda x : x % 4 == 0, range(1000, 1008)): ... print(e)
______
1000 1004
>>> [x + y for x, y in zip([1, 2, 3], [4, 5, 6])]
______
[5, 7, 9]

Q5: Count Occurrences

Implement count_occurrences, which takes an iterator t, an integer n, and a value x. It returns the number of elements in the first n elements of t that are equal to x.

You can assume that t has at least n elements.

Important: You should call next on t exactly n times. If you need to iterate through more than n elements, think about how you can optimize your solution.

from typing import Iterator  # "t: Iterator[int]" means t is an iterator that yields integers

def count_occurrences(t: Iterator[int], n: int, x: int) -> int:
    """Return the number of times that x is equal to one of the
    first n elements of iterator t.

    >>> s = iter([10, 9, 10, 9, 9, 10, 8, 8, 8, 7])
    >>> count_occurrences(s, 10, 9)
    3
    >>> t = iter([10, 9, 10, 9, 9, 10, 8, 8, 8, 7])
    >>> count_occurrences(t, 3, 10)
    2
    >>> u = iter([3, 2, 2, 2, 1, 2, 1, 4, 4, 5, 5, 5])
    >>> count_occurrences(u, 1, 3)  # Only iterate over 3
    1
    >>> count_occurrences(u, 3, 2)  # Only iterate over 2, 2, 2
    3
    >>> list(u)                     # Ensure that the iterator has advanced the right amount
    [1, 2, 1, 4, 4, 5, 5, 5]
    >>> v = iter([4, 1, 6, 6, 7, 7, 6, 6, 2, 2, 2, 5])
    >>> count_occurrences(v, 6, 6)
    2
    """
    "*** YOUR CODE HERE ***"

Use Ok to test your code:

python3 ok -q count_occurrences

Q6: Repeated

Implement repeated, which takes in an iterator t and an integer k greater than 1. It returns the first value in t that appears k times in a row. You may assume that there is an element of t repeated at least k times in a row.

Important: Call next on t only the minimum number of times required. If you are receiving a StopIteration exception, your repeated function is calling next too many times.

from typing import Iterator  # "t: Iterator[int]" means t is an iterator that yields integers

def repeated(t: Iterator[int], k: int) -> int:
    """Return the first value in iterator t that appears k times in a row,
    calling next on t as few times as possible.

    >>> s = iter([10, 9, 10, 9, 9, 10, 8, 8, 8, 7])
    >>> repeated(s, 2)
    9
    >>> t = iter([10, 9, 10, 9, 9, 10, 8, 8, 8, 7])
    >>> repeated(t, 3)
    8
    >>> u = iter([3, 2, 2, 2, 1, 2, 1, 4, 4, 5, 5, 5])
    >>> repeated(u, 3)
    2
    >>> repeated(u, 3)
    5
    >>> v = iter([4, 1, 6, 6, 7, 7, 8, 8, 2, 2, 2, 5])
    >>> repeated(v, 3)
    2
    """
    assert k > 1
    "*** YOUR CODE HERE ***"

Use Ok to test your code:

python3 ok -q repeated

Check Your Score Locally

You can locally check your score on each question of this assignment by running

python3 ok --score

This does NOT submit the assignment! When you are satisfied with your score, submit the assignment to Pensieve to receive credit for it.

Submit Assignment

Submit this assignment by uploading any files you've edited to the appropriate Pensieve assignment. Lab 00 has detailed instructions.

Correctly completing all questions is worth one point. If you are in the regular lab, you will need your attendance from your TA to receive that one point. Please ensure your TA has taken your attendance before leaving.

Optional Questions

These questions are optional. If you don't complete them, you will still receive credit for this assignment. They are great practice, so do them anyway!

Q7: Sprout Leaves

Define a function sprout_leaves that takes in a tree t and a list of leaf labels leaves. It returns a new tree that is identical to t, but in which each old leaf node has new branches, one for each leaf label in leaves.

For example, say we have the tree t = tree(1, [tree(2), tree(3, [tree(4)])]):

  1
 / \
2   3
    |
    4

If we call sprout_leaves(t, [5, 6]), the result is the following tree:

       1
     /   \
    2     3
   / \    |
  5   6   4
         / \
        5   6
def sprout_leaves(t, leaves):
    """Sprout new leaves containing the labels in leaves at each leaf of
    the original tree t and return the resulting tree.

    >>> t1 = tree(1, [tree(2), tree(3)])
    >>> print_tree(t1)
    1
      2
      3
    >>> new1 = sprout_leaves(t1, [4, 5])
    >>> print_tree(new1)
    1
      2
        4
        5
      3
        4
        5

    >>> t2 = tree(1, [tree(2, [tree(3)])])
    >>> print_tree(t2)
    1
      2
        3
    >>> new2 = sprout_leaves(t2, [6, 1, 2])
    >>> print_tree(new2)
    1
      2
        3
          6
          1
          2
    """
    "*** YOUR CODE HERE ***"

Use Ok to test your code:

python3 ok -q sprout_leaves

Q8: Pruning Leaves

Implement prune_leaves, which takes a tree t and a tuple of values vals. It returns a version of t with all its leaves whose labels are in vals removed. Do not remove non-leaf nodes and do not remove leaves that do not match any of the items in vals. Return None if pruning the tree results in there being no nodes left in the tree.

def prune_leaves(t, vals):
    """Return a version of t with all leaves that have a label
    that appears in vals removed.  Return None if the entire tree is
    pruned away.

    >>> t = tree(2)
    >>> print(prune_leaves(t, (1, 2)))
    None
    >>> numbers = tree(1, [tree(2), tree(3, [tree(4), tree(5)]), tree(6, [tree(7)])])
    >>> print_tree(numbers)
    1
      2
      3
        4
        5
      6
        7
    >>> print_tree(prune_leaves(numbers, (3, 4, 6, 7)))
    1
      2
      3
        5
      6
    """
    "*** YOUR CODE HERE ***"

Use Ok to test your code:

python3 ok -q prune_leaves

Q9: Path Sum

Define a function pathsum, which takes in a tree of numbers t and a number n. It returns True if there is a path from the root to a leaf such that the sum of the numbers along that path is n and False otherwise.

def pathsum(t, n):
    """
    >>> my_tree = tree(2, [tree(3, [tree(5), tree(7)]), tree(4)])
    >>> pathsum(my_tree, 12) # 2 -> 3 -> 7
    True
    >>> pathsum(my_tree, 5)  # A path that doesn't reach a leaf such as 2 -> 3 doesn't count
    False
    """
    "*** YOUR CODE HERE ***"

Use Ok to test your code:

python3 ok -q pathsum

Q10: Perfectly Balanced

Implement sum_tree, which returns the sum of all the labels in tree t.

def sum_tree(t):
    """Add all elements in a tree.

    >>> t = tree(4, [tree(2, [tree(3)]), tree(6)])
    >>> sum_tree(t)
    15
    """
    "*** YOUR CODE HERE ***"

Use Ok to test your code:

python3 ok -q sum_tree

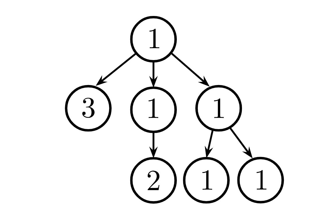
Then, implement balanced, which returns whether every branch of t has the same total sum and that the branches themselves are also balanced.

Example Tree

  • For example, the tree above is balanced because each branch has the same total sum, and each branch is also itself balanced.
def balanced(t):
    """Checks if each branch has same sum of all elements and
    if each branch is balanced.

    >>> t = tree(1, [tree(3), tree(1, [tree(2)]), tree(1, [tree(1), tree(1)])])
    >>> balanced(t)
    True
    >>> t = tree(1, [t, tree(1)])
    >>> balanced(t)
    False
    >>> t = tree(1, [tree(4), tree(1, [tree(2), tree(1)]), tree(1, [tree(3)])])
    >>> balanced(t)
    False
    """
    "*** YOUR CODE HERE ***"

Use Ok to test your code:

python3 ok -q balanced

Challenge: Solve both of these parts with just 1 line of code each.

Q11: Partial Reverse

Partially reversing the list [1, 2, 3, 4, 5] starting from index 2 until the end of the list will give [1, 2, 5, 4, 3].

Implement the function partial_reverse which reverses a list starting from index start until the end of the list. This reversal should be in-place, meaning that the original list is modified. Do not create a new list inside your function, even if you do not return it. The partial_reverse function returns None.

Hint: You can swap elements at index i and j in list s with multiple assignment: s[i], s[j] = s[j], s[i]

def partial_reverse(s: list[int], start: int) -> None:
    """Reverse part of a list in-place, starting with start up to the end of
    the list.

    >>> a = [1, 2, 3, 4, 5, 6, 7]
    >>> partial_reverse(a, 2)
    >>> a
    [1, 2, 7, 6, 5, 4, 3]
    >>> partial_reverse(a, 5)
    >>> a
    [1, 2, 7, 6, 5, 3, 4]
    """
    "*** YOUR CODE HERE ***"

Use Ok to test your code:

python3 ok -q partial_reverse